View Corona Aktuell D?Nemark Pics

Posting Komentar

View Corona Aktuell D?Nemark
Pics
. Durch den meldeverzug sind die daten die letzten tage in der grafik noch unvollständig und füllen sich mit den in den kommenden tagen nachfolgend übermittelten daten auf. 112 tage lang durften die bürger kaum noch ihre häuser verlassen.

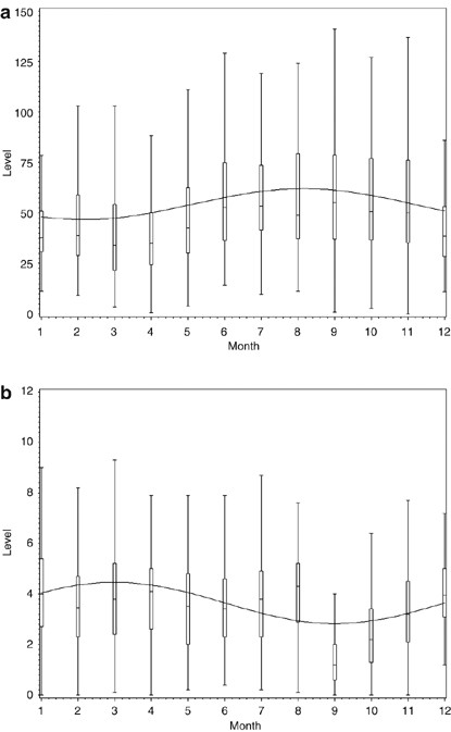
Vitamin D Status And Health Correlates Among German Adults European Journal Of Clinical Nutrition
Vitamin D Status And Health Correlates Among German Adults European Journal Of Clinical Nutrition from media.springernature.com
Forscher sprechen von einem durchbruch. Viele bestellen aktuell selbst lebensmittel online oder. An 365 tagen im jahr, rund um die uhr aktualisiert, die wichtigsten news auf tagesschau.de.

Wie viele menschen sind aktuell infiziert und wie viele bestätigte infektionsfälle gibt es insgesamt?

Ist die zeit schon reif, um aktien zu digitales bezahlen wird insbesondere in zeiten der ausbreitung des coronavirus immer wichtiger. Wir halten sie mit unserem newsletter über die neuesten entwicklungen auf dem laufenden. Alles wissenswerte rund um das virus. Das coronavirus sorgt für viele fragen.


Related Posts

There is no other posts in this category.

Posting Komentar